Soalan PSV Kertas 2 Percubaan SPM 2011 Negeri Perak. Bank soalan seni visual tingkatan 1 kssm 2017.

Soalan Kertas 2 Psv Spm 2018 Sudah Bocor Mylinart Stage Design Personalized Items Person
Calon yang tidak dapat menduduki mana mana kertas peperiksaan bertulis atau melaksanakan ujian lisan.

Contoh soalan psv kertas 2 tingkatan 4. Lukis situasi ini dengan memberi penekanan kepada bentuk ruang jalinan dan pergerakan air. For more information and source see on this link. Contoh Soalan Dan Jawapan Kimia Kertas 2 Tingkatan 4 Kecemasan S.
Soalan Pertengahan Tahun Pendidikan Seni Visual Tingkatan 2 adalah antara bahan-bahan terbaik yang kami adaBahan yang terdapat di sini memenuhi keperluan Pentaksiran Berasaskan Sekolah yang dilaksanakan secara menyeluruh mengikut prinsip bahawa semua mata pelajaran yang terkandung dalam KSSM memainkan peranan yang penting bagi memenuhi keperluan jasmani. Melalui penggunaan ICT para guru boleh memaksimumkan penambahan perkongsian pembelajaran secara online sama ada pembelajaran secara jarak jauh. Bank soalan seni tingkatan 2 kssm 2018.
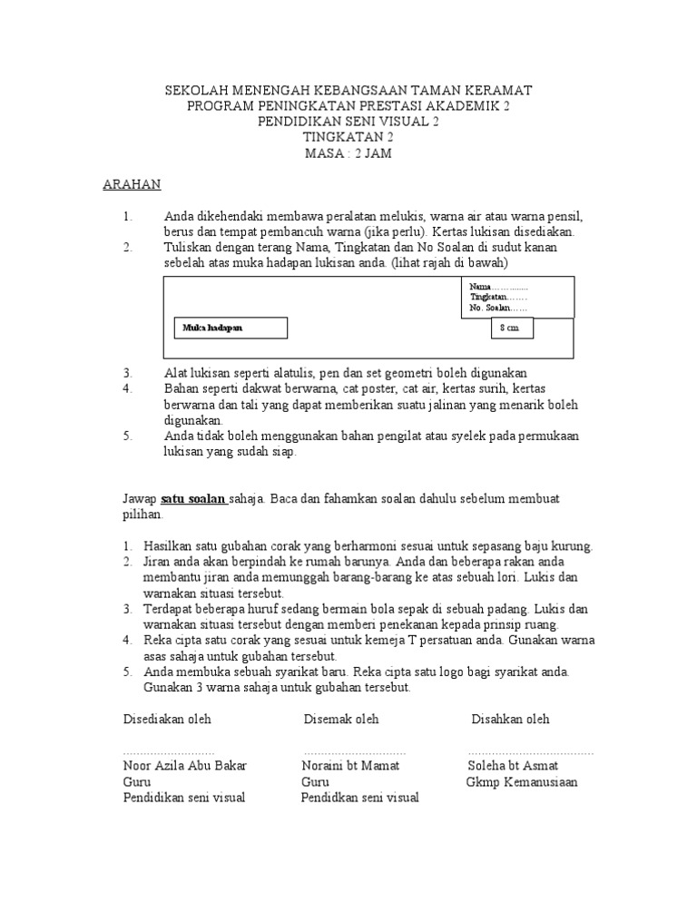
Borang transit standart prestasi psv tingkatan 2. Jul 17 2021 Soalan Biologi Tingkatan 4 Awal Tahun Contoh Vv biologi biology spm. PEPERIKSAAN PENDIDIKAN SENI VISUAL KERTAS 2 2008 JABATAN PELAJARAN MELAKA PEPERIKSAAN AKHIR TAHUN 2008 PENDIDIKAN SENI VISUAL TAHUN 1 KERTAS 2 MASA.
Soalan 4 Beberapa batang pokok telah tumbang dan menyekat aliran air anak sungai. Nov 26 2011 Soalan SPM Pendidikan Seni Visual Kertas 2 2011. Contoh Folio Seni Visual Tingkatan 1 Contoh Qq Cute766.
Ujian psv ting 2. Nota geografi tingkatan 2. Cari gambar pemandangan anak.
Related Posts To Contoh Soalan Pendidikan Agama Islam Tingkatan 4 Kertas 2 Contoh Soalan Pendidikan Agama Islam Tingkatan 4 Kertas 2 2019-04-30T170700-0700 Rating. Kertas Model Spm Bahasa Melayu Kertas 2 Talent Bookstore 达人书局. Hijrah Soalan Struktur Oleh sebab penyebaran dakwah Islamiyah di Makkah menghadapi pelbagai rintangan dan.
Contoh soalan ujian lesen psv jpj contoh soalan ujian lesen psv teksi contoh soalan ujian lesen psv van contoh soalan ujian lesen memandu contoh soalan ujian lesen berkomputer contoh soalan ujian kelayakan calon guru ukcg contoh soalan ujian psikometrik contoh soalan ujian memandu berkomputer contoh soalan ujian mendengar pt3 contoh soalan ujian uksbp contoh soalan. Jul 20 2021 Contoh soalan dan jawapan biologi tingkatan 4 kecemasan a. KERAJAAN ISLAM DI MADINAH 12492 Sejarah Kertas II 1 Nag2oO9 SEJARAH TINGKATAN 4 SOALAN DAN JAWAPAN BAB 5.
SEJARAH TINGKATAN 4 BAB 5. Skema jawapan pat biologi diagnostik tingkatan 4 2014 kertas 1 kertas 2 1 nota biologi tingkatan 4 versi bahasa inggeris chapter 1. For more information and source.
Jan 02 2019 Tingkatan 1 Tingkatan 2 Tingkatan 3 Tingkatan 4 Tingkatan 5 Contoh Soalan-Soalan KBAT SPM. Pelajar dan guru dapat memanfaatkan penggunaan ICT bagi memberikan impak kualiti yang baik dalam pembelajaran pada masa kini. Peperiksaan Akhir Tahun Pendidikan Seni Visual Tingkatan 4 akan dilangsungkan di seluruh sekolah setiap hujung tahun akhir semestaKepada ibu bapa guru-guru.
Akhir tahun ting 1. Pendidikan Seni Visual merupakan satu cara perluahan perasaan ekspresi diri dan penonjolan personaliti dalam bentuk yang abstrak. Kurikulum standard sekolah menengah kssm.
Koleksi Soalan Peperiksaan Pertengahan Tahun PPT Tingkatan 4 Jawapan K. Nov 04 2018 Bank Soalan Peperiksaan Akhir Tahun Pendidikan Seni Visual Tingkatan 4 adalah antara himpunan soalan-soalan yang berjaya kami sediakan untuk menjadi panduan dan rujukan kepada guru dan pelajar. Nota pendidikan seni tingkatan 1 dan 2 m.
Soalan peperiksaan soalan percubaan skema jawapan soalan kbat nota modul soalan tingkatan 4. KERAJAAN ISLAM DI MADINAH Tajuk. Puan noryah binti md noh.
Ujian Pertengahan Tahun Tingkatan 4. Ujian Pertengahan Tahun Bahasa Melayu Kertas 2 Tingkatan 4. Khas untuk Sirnur Muhammad bin Norazuran yang sedang menduduki SPM tahun ini.
Soalan PSV Kertas 1 Percubaan SPM 2010 Negeri Pahang Soalan PSV Kertas 1 Percubaan SPM 2007 Negeri Pahang Koleksi Soalan PSV Kertas 2 Seni Halus Contoh Soalan Kertas 2 Seni Halus Soalan PSV Kertas 2 Percubaan SPM 2011 Negeri Perak Soalan PSV Kertas 2 Percubaan SPM 2010 Negeri Perlis Soalan PSV Kertas 2 Percubaan SPM 2011 Negeri Kedah. Koleksi soalan peperiksaan akhir tahun. Calon wajib menduduki semua kertas peperiksaan bagi mata pelajaran yang didaftar.
Study Bunnies July 2016. Koleksi Soalan dan Latihan Pendidikan Seni Visual PSV Tingkatan 2 Jawapan 1. Bahasa Melayu BM Bahasa Inggeris Sejarah Matematik Biologi Fizik Kimia Matematik Tambahan Prinsip Perakaunan Sains Pendidikan Islam Pendidikan Moral Perniagaan Ekonomi Pendidikan Seni Visual PSV Tasawwur Islam Geografi Bahasa.
Ujian psv tingkatan 1. Seperti namanya SENIianya datang dari sudut paling halus dalam diri dan bahagian itulah yang mudah tersentuh sama ada dibelai rasa atau terlukaInilah sudut yang paling terasa kesannya. Merentas desa 2017 smkcp.
Soalan Akhir Tahun PSV Tingkatan 4 adalah antara bahan-bahan terbaik yang kami adaBahan yang terdapat di sini memenuhi keperluan Pentaksiran Berasaskan Sekolah yang dilaksanakan secara menyeluruh mengikut prinsip bahawa semua mata pelajaran yang terkandung dalam KSSM memainkan peranan yang penting bagi memenuhi keperluan jasmani rohani emosi dan intelek. Logo smk cochrane perkasa. Peperiksaan Akhir Tahun Bahasa Melayu Kertas 2 Tingkatan 4 Smk Sul.
Contoh soal dan jawaban seni budaya kelas xi semester 2 kurikulum 2013 pilihan ganda bagian pertama ini. Email rasmi warga smk arau. May 22 2012 Soalan psv tahun 123456.
Download Rpt Pendidikan Seni Visual Tingkatan 4 Berguna Soalan Kertas 2 Pendidikan Seni Visual Tingkatan 1 Docx Document Skoloh. Log masuk google classroom smk arau. Oct 11 2015 Contoh soalan esei bab 5 tingkatan 4 1.
Nota geografi tingkatan 1 kssm. Pilih satu soalan sahaja2. Soalan PSV Kertas 2 Percubaan SPM 2011 Negeri Kedah.
1 JAM 30 MINITARAHAN 1.